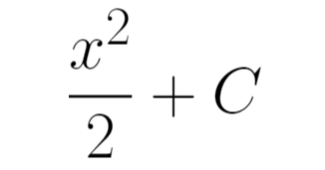
問題:範囲:数学Ⅱ 次の不定積分の値を求めよ。 出題元【積分検定】

問題

範囲:数学Ⅱ 次の不定積分の値を求めよ。

✨けんてーごっこプレミアム登場!✨
広告なし&便利な機能盛りだくさん

都道府県の検定を探す